風力発電所の費用

費用は、英国のサプライチェーンを想定した額に基づいて算出されました。したがって、日本と韓国でのコストは、特定の地域要因に応じて異なる場合があります。このセクションには、風力発電所のコスト (「ライフタイムコスト」および「詳細なコストの内訳」) と均等化発電原価 (LCOE) に関する情報が含まれます。

コスト

サイトの定義

以下のサイトの条件と仮定に基づいて、浮体式洋上風力発電所の一連のコストを計算しました:

Guide categoriesRounded costUnit
Year of FID2028
First operation date2030
Wind farm rating1000MW
Turbine rating15MW
Water depth at site100m
Annual mean wind speed at 100 m height10m/s
Distance from offshore substation to shore75km
Distance from shore to onshore substation10km
Distance from wind farm to construction port75km
Distance from wind farm to O&M port75km
Floating substructure material and typeSteel semi-submersible
Mooring system6 point mooring with drag embedment anchors
Floating substructure manufacturing locationAsia
Floating substructure assembly locationEurope
Offshore substation foundation typeFixed jacket foundation
Ground conditionsBenign, allowing a piled substructure for the substation and drag embedment anchors for the floating offshore wind turbines
パラメーターデータ単位
最終投資決定 (FID) の年2028
最初の稼働日2030
風力発電所の定格出力1000MW
タービン定格15MW
サイトの水深100m
高度100m での年間平均風速10m/s
洋上変電所から海岸までの距離75km
海岸から陸上変電所までの距離10km
風力発電所から建設港までの距離75km
風力発電所から O&M ポートまでの距離75km
浮体式基礎構造物の材質と種類鋼製セミサブ型
係留施設ドラッグ式埋め込みアンカーによる 6 点係留
浮体式基礎構造物の製造拠点アジア
浮体式基礎構造物の組み立て場所欧州
洋上変電所基礎の種類着床式ジャケット基礎
地盤条件好適であり、変電所のパイル基礎構造物が使用可能であり、浮体式洋上風力タービンについてはドラッグ式埋め込みアンカーを使用可能
매개변수데이터단위
FID 연도2028
최초 운영일2030
풍력발전단지 등급1000MW
터빈 등급15MW
부지 수심100m
100m 높이 연간 평균 풍속10m/s
해상 변전소부터 해안까지의 거리75km
해안에서 육상 변전소까지의 거리10km
풍력발전단지에서 건설 항구까지의 거리75km
풍력발전단지에서 O&M 항구까지의 거리75km
부유식 하부 구조믈 자재 및 유형강철 반잠수식
계류 장치매립식 드래그 앵커를 사용한 6점 계류 방식
부유식 하부 구조물 제조 위치아시아
부유식 하부 구조물 조립 위치유럽
해상 변전소 기초 구조물 유형고정식 재킷 기초 구조물
지면 조건변전소의 파일형 하부 구조물 및 부유식 해상 풍력 터빈용 매립식 드래그 앵커가 가능할 만큼 양호해야 함

ライフタイムコスト

下の円グラフは、浮体式洋上風力発電所のライフタイムコスト合計に対して、各主要コスト要素の占める割合を、上記表のサイトの条件と仮定に基づいて示しています。

詳細なコストの内訳

下記の条件に基づく典型的なコストのより詳細な内訳を下表に示します。

  • すべてのコストは 2025 年時点での実質価格です。
  • 提示されている数値は丸められているため、合計が内訳の合計と一致しない場合があります。
  • プロジェクトによって、特定の時期、地域特有の問題、為替レート、競争状況、契約条件などにより、各要素の価格には幅が生じることがあります。したがって、示されている値はあくまで目安として捉えてください。
  • 大型部品の価格には、最寄りの港への配送、サプライヤー費用、および保証費用が含まれます。
  • 開発者費用 (社内のプロジェクトおよび建設管理、保険、通常支出される予期せぬ事態に対応するために使われる予備費および諸経費を含む) は最上位の項目に含まれていますが、明細は示されていません。
CategoryRounded costUnit
Development and project management202,000$/MW
Development and consenting services94,000$/MW
Environmental impact assessments14,000$/MW
Development activities and other consenting services80,000$/MW
Environmental surveys11,000$/MW
Animal surveys (benthic, fish, shellfish, mammals and birds)10,000$/MW
Onshore environmental surveys2,000$/MW
Human impact studies1,000$/MW
Resource and metocean assessment9,000$/MW
Structure5,000$/MW
Sensors4,000$/MW
Maintenance1,000$/MW
Geological and hydrographical surveys12,000$/MW
Geophysical surveys3,000$/MW
Geotechnical surveys6,000$/MW
Hydrographic surveys2,000$/MW
Engineering and consultancy12,000$/MW
Project management63,000$/MW
Wind turbine1,755,000$/MW
Nacelle1,084,000$/MW
Rotor468,000$/MW
Tower202,000$/MW
Balance of plant3,143,000$/MW
Dynamic array cable149,000$/MW
Export cable350,000$/MW
Cable accessories104,000$/MW
Interface39,000$/MW
Cable protection5,000$/MW
Buoyancy3,000$/MW
Connectors and joints56,000$/MW
Floating substructure1,706,000$/MW
Structure1,434,000$/MW
Secondary steel68,000$/MW
Systems119,000$/MW
Corrosion protection85,000$/MW
Mooring systems411,000$/MW
Anchor systems45,000$/MW
Mooring lines and chains227,000$/MW
Jewellery128,000$/MW
Topside connection7,000$/MW
Installation aids4,000$/MW
Offshore substation366,000$/MW
HVAC electrical system104,000$/MW
Auxiliary systems17,000$/MW
Topside structure160,000$/MW
Foundation85,000$/MW
Onshore substation57,000$/MW
Electrical system40,000$/MW
Buildings, access and security17,000$/MW
Installation and commissioning1,789,000$/MW
Inbound transport200,000$/MW
Mooring and anchoring pre-installation199,000$/MW
Floating substructure - turbine assembly93,000$/MW
Crane and lifting equipment44,000$/MW
Technician services14,000$/MW
Marshalling port28,000$/MW
Other6,000$/MW
Floating substructure - turbine installation148,000$/MW
Offshore cable installation223,000$/MW
Onshore export cable installation11,000$/MW
Offshore substation installation68,000$/MW
Onshore substation construction38,000$/MW
Offshore logistics17,000$/MW
Sea-based support8,000$/MW
Marine coordination3,000$/MW
Weather forecasting and metocean data1,000$/MW
Marine safety and rescue6,000$/MW
Contingency and insurance793,000$/MW
Operation, maintenance and service127,000$/MW/Year
Operations, maintenance and service port1,000$/MW/Year
Operations44,000$/MW/Year
Operations control centre2,000$/MW/Year
Training3,000$/MW/Year
Onshore logistics2,000$/MW/Year
Technical resource (onshore and off)9,000$/MW/Year
Admin and support staff (onshore)10,000$/MW/Year
Insurance18,000$/MW/Year
Offshore logistics9,000$/MW/Year
Maintenance and service74,000$/MW/Year
Turbine maintenance and service53,000$/MW/Year
Balance of plant maintenance and service19,000$/MW/Year
Statutory inspections1,000$/MW/Year
Decommissioning584,000$/MW
Floating hull - turbine decommissioning193,000$/MW
Mooring and anchoring decommissioning159,000$/MW
Cable decommissioning178,000$/MW
Substation decommissioning54,000$/MW
ガイドのカテゴリー四捨五入後のコスト単位
開発とプロジェクトの管理202,000$/MW
開発および承認サービス94,000$/MW
環境影響評価14,000$MW
開発活動およびその他の承認サービス80,000$/MW
環境調査11,000$/MW
洋上生物種および生息地調査10,000$/MW
陸上環境調査2,000$/MW
人間活動影響調査1,000$/MW
風資源と気象海象評価9,000$/MW
構造物5,000$/MW
センサー4,000$/MW
メンテナンス1,000$/MW
地質・水文調査12,000$/MW
物理探査3,000$/MW
地質調査6,000$/MW
水文調査2,000$/MW
エンジニアリングとコンサルティング12,000$/MW
プロジェクト管理63,000$/MW
風力タービン1,755,000$/MW
ナセル1,084,000$/MW
ローター468,000$/MW
タワー202,000$/MW
周辺設備3,143,000$/MW
アレイ ケーブル149,000$/MW
エクスポートケーブル350,000$/MW
ケーブル付属品104,000$/MW
インターフェース (接続)39,000$/MW
ケーブル保護5,000$/MW
浮力3,000$/MW
コネクタとジョイント56,000$/MW
浮体式基礎構造物1,706,000$/MW
一次鋼構造物1,434,000$/MW
二次鋼構造物68,000$/MW
基礎構造物補助システム119,000$/MW
腐食保護85,000$/MW
係留施設411,000$/MW
アンカー45,000$/MW
係留索227,000$/MW
接続ジョイント128,000$/MW
上部接続部7,000$/MW
設置補助4,000$/MW
洋上変電所366,000$/MW
高圧交流 (HVAC) 電気システム104,000$/MW
補助システム17,000$/MW
上部構造物160,000$/MW
基礎構造物85,000$/MW
陸上変電所57,000$/MW
電気システム40,000$/MW
建物、アクセス、警備体制17,000$/MW
設置と試運転1,789,000$/MW
搬入輸送200,000$/MW
アンカーと係留策の事前設置199,000$/MW
浮体式基礎構造物 - タービンアセンブリ93,000$/MW
重量物吊り上げ・移動設備44,000$/MW
技術者サービス14,000$/MW
マーシャリング港湾28,000$/MW
その他 設置6,000$/MW
浮体式基礎構造物 - タービン設置148,000$/MW
洋上ケーブル敷設223,000$/MW
陸上エクスポートケーブルの敷設11,000$/MW
洋上変電所の設置68,000$/MW
陸上変電所の建設38,000$/MW
洋上物流17,000$/MW
海上支援8,000$/MW
マリンコーディネーション3,000$/MW
天気予報と気象海象データ1,000$/MW
海上安全と救助6,000$/MW
不測の事態への予備費と保険793,000$/MW
運用、保守管理、サービス127,000$/MW/年
運用、保守、サービス港湾1,000$/MW/年
オペレーション44,000$/MW/年
運用管理センター2,000$/MW/年
トレーニング3,000$/MW/年
陸上ロジスティクス2,000$/MW/年
技術リソース (陸上および洋上)9,000$/MW/年
管理者およびサポートスタッフ (陸上)10,000$/MW/年
保険18,000$/MW/年
洋上アクセス船とロジスティクス9,000$/MW/年
メンテナンスとサービス74,000$/MW/年
タービン保守管理・サービス53,000$/MW/年
周辺設備のメンテナンスおよびサービス19,000$/MW/年
法定検査1,000$/MW/年
廃止584,000$/MW
浮体式基礎構造物 - タービンの廃止193,000$/MW
係留およびアンカーの廃止159,000$/MW
ケーブルの廃止178,000$/MW
変電所の廃止54,000$/MW
가이드 범주반올림한 비용단위
개발 및 프로젝트 관리202,000$/MW
개발 및 인허가 서비스94,000$/MW
환경영향평가(EIA)14,000$/MW
개발 활동 및 기타 인허가 서비스80,000$/MW
환경 조사11,000$/MW
동물 조사(저서생물, 어류, 조개류, 포유류, 조류)10,000$/MW
육상 환경 조사2,000$/MW
인체 영향 연구1,000$/MW
자원 및 해양기상 환경 평가9,000$/MW
구조물5,000$/MW
센서4,000$/MW
유지보수1,000$/MW
지질 및 수로 조사12,000$/MW
물리탐사3,000$/MW
지질탐사6,000$/MW
수로 측량2,000$/MW
엔지니어링 및 컨설팅12,000$/MW
프로젝트 관리63,000$/MW
풍력 터빈1,755,000$/MW
나셀1,084,000$/MW
로터468,000$/MW
타워202,000$/MW
발전보조기기3,143,000$/MW
동적 내부망149,000$/MW
외부망350,000$/MW
케이블 부속품104,000$/MW
인터페이스39,000$/MW
케이블 보호재5,000$/MW
부력체3,000$/MW
커넥터 및 접합 장치56,000$/MW
부유식 하부 구조물1,706,000$/MW
구조물1,434,000$/MW
보조 강철 구조물68,000$/MW
시스템119,000$/MW
부식 방지85,000$/MW
계류 장치411,000$/MW
앵커 시스템45,000$/MW
계류삭과 체인227,000$/MW
부속품(Jewellery)128,000$/MW
상부 연결장치7,000$/MW
설치 보조 도구4,000$/MW
해상 변전소366,000$/MW
HVAC 전기 시스템104,000$/MW
보조 설비17,000$/MW
상부 구조물160,000$/MW
기초 구조물85,000$/MW
육상 변전소57,000$/MW
전기 시스템40,000$/MW
건물, 접근 시설, 보안17,000$/MW
설치 및 시운전1,789,000$/MW
인바운드 운송200,000$/MW
계류 및 앵커링 사전 설치199,000$/MW
부유식 하부 구조물 - 터빈 조립93,000$/MW
크레인 및 인양 장비44,000$/MW
엔지니어 제공14,000$/MW
집하 항구28,000$/MW
기타6,000$/MW
부유식 하부 구조물 - 터빈 설치148,000$/MW
해상 케이블 설치223,000$/MW
육상 외부망 설치11,000$/MW
해상 변전소 설치68,000$/MW
육상 변전소 건설38,000$/MW
해상 물류17,000$/MW
해상 지원8,000$/MW
해양 조정 활동3,000$/MW
일기 예보 및 해상기상 데이터1,000$/MW
해양 안전 및 구조 활동6,000$/MW
비상 상황 및 보험793,000$/MW
작동, 유지보수, 정비127,000$/MW/년
작동, 유지보수, 정비 항만1,000$/MW/년
운영44,000$/MW/년
운영 제어 센터2,000$/MW/년
교육3,000$/MW/년
육상 물류2,000$/MW/년
기술 리소스(육상 및 해상)9,000$/MW/년
관리 및 지원 인력(육상)10,000$/MW/년
보험18,000$/MW/년
해상 물류9,000$/MW/년
유지보수 및 정비74,000$/MW/년
터빈 유지보수 및 정비53,000$/MW/년
발전보조기기 유지보수 및 정비19,000$/MW/년
법정 검사1,000$/MW/년
해체584,000$/MW
부유식 선체 - 터빈 해체193,000$/MW
계류 및 앵커링 해체159,000$/MW
케이블 해체178,000$/MW
변전소 해체54,000$/MW

均等化発電原価 (LCOE)

均等化発電原価の目的

均等化発電原価 (LCOE) は、「風力発電所の耐用年数にわたって、投資収益率が割引率 (加重平均資本コスト (WACC) とも呼ばれる) に等しくなるために必要な収益 (資金源を問わない)」 として定義されます。税金とインフレはモデル化されていません。つまり、生産されるエネルギーのライフタイム平均コストです。

LCOE は、様々な技術や様々な場所での発電コストを評価・比較するために使用されます。これは、発電されたエネルギー単位のコスト (例えば、電力 1 メガワット時あたりのドル額 ($/MWh)) を比較するのに適した方法です。LCOE は、需要と供給のバランスに関連するコストを考慮していません。

LCOE の削減は電力消費者に (発電業者に補助金が支払われる場合は加えて納税者にも) 利益をもたらすため、LCOE の削減は洋上風力発電業界の主要な焦点となっています。

LCOE は、コストとエネルギー生産量を別々に比較するのではなく、コストとエネルギー生産量を 1 つの指標にまとめます。LCOE はテクノロジー企業や業界支援者が利用しますが、通常、プロジェクト投資家は使用しません。プロジェクト投資家は、税金などの企業固有の特徴を考慮した場合、投資の内部収益率 (IRR) や正味現在価値 (NPV) により多くの関心を寄せると考えられます。

英国では現在、洋上風力発電所への補助金は、英国政府の差金決済取引 (CfD ) 入札 (auctions) を通じて提供されています。CfD 入札価格は、開発業者が15年間の期間にわたって求める収益 ($/MWh) です。これ以降の収益は公開市場から得られます。CfD 入札価格の設定方法は、将来の市場価格を予測し、リスクと競争に対してどのようなアプローチを入札者がとるかによって決まります。したがって、CfD 入札価格は LCOE と等しくありませんが、両者の間には関係があります。市場が異なれば、プロジェクト開発業者の供給範囲や競争条件も異なります。つまり、CfD 入札価格と LCOE の関係も異なります。

日本では、洋上風力発電に対する補助金は、「再エネ海域利用法 (2019 年) 」に基づいて制定された公募制度を通じて、洋上風力発電所へ提供されています。公募は、経済産業省 (METI) と国土交通省 (MLIT) が実施します。開発業者は、固定契約期間 (通常は 20 年間) の供給価格 (¥/kWh) を提案して入札します。この期間を過ぎると、収益は市況によって決定されます。入札価格は、開発者の将来の電力価格の予測、リスク管理戦略、競争上のポジショニングによって影響を受けます。したがって、入札価格は、均等化発電原価 (LCOE) と必ずしも等しいわけではありませんが、両者の間には相関関係があります。入札価格と LCOE の関係は、地域ごとの市場構造、プロジェクトの範囲、入札の規定によって異なります。

韓国における洋上風力発電への補助金は、産業通商資源部 (MOTIE) が管理する再生可能エネルギーポートフォリオ基準 (RPS) およびフィードインプレミアム (FIP) 制度を通じて支給されています。他の市場の競争入札とは異なり、韓国の RPS では、大手電力会社が一定の割合の電力を再生可能エネルギーから調達することを義務付けています。開発業者は再生エネルギー証明書 (REC) と電力販売を通じて収益を得ており、洋上風力発電プロジェクトは REC 倍率が高いというメリットがあります。2022 年に導入されたフィードインプレミアム (FIP) 制度では、固定料金ではなく卸売市場価格を上回るプレミアム (割増金) を提供することで、市場主導の価格設定を可能にします。入札価格は均等化発電原価 (LCOE) と直接的に一致するのではなく、電力価格の予測、リスク戦略、競争を反映していますが、相関関係はあります。韓国は価格要因と非価格要因の両方を考慮した、二段階評価プロセスの概要を示すロードマップとともに、洋上風力発電の競争入札への移行を進めています。この変化により、現在の再生可能エネルギーポートフォリオ基準 (RPS) およびフィードインプレミアム (FIP) フレームワークが再編成され、プロジェクトの経済性と投資のダイナミクスに影響を及ぼす可能性があります。

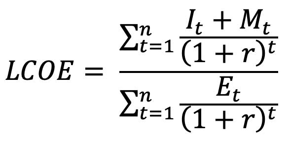
均等化発電原価 (LCOE) の定義

LCOE の技術的定義は次のとおりです:

ここで:

It t 年度の投資支出
Mtt 年度の運用、保守、サービス支出
Ett 年度のエネルギー生産量
r :割引率 (または WACC)
n :プロジェクトの存続期間 (年数)

LCOE の推進要因

LCOE の削減は、コスト削減、エネルギー生産量の増加、またはプロジェクトの資金調達や寿命を変更することによって実現できます。コスト削減は、製造、設置、または運用段階におけるプロセスまたは採用技術の変更によって生じる可能性があります。エネルギー生産量の増加は、技術の進歩による場合もあれば、運用プロセスの改善によるエネルギー損失の削減による場合もあります。プロジェクトリスクを軽減することが、資金調達コストに好影響を与える主な方法です。

2027 年 (英国で次の浮体式洋上風力発電所の実証段階運転予定の年) から 2035 年までの BVGA による浮体式洋上風力発電の LCOE 予測を図51に示します。LCOE は個々のプロジェクトによって異なりますが、全体的な LCOE は時間の経過とともに大幅に減少し続けています。この価格幅は、浮体式洋上風力発電プロジェクトにおいて、サイトの条件、支援策、地域特有の要件といった様々な要因によって変動する可能性のある、LCOE (均等化発電原価) の幅を示しています。業界が様々なテクノロジーとそれに関連する製造、設置、保守プロセスが全体にわたって標準化するにつれて、この差異は時間の経過とともに縮小して行くと予想されます。上記に示すコスト内訳は、2020 年以降に業界が経験した商品価格の上昇と市場動向の変化を反映しています。今後、商品価格がある程度下落すると予想されるものの、その時期や規模については不明です。

コストの主な影響要因は次のとおりです:

設置場所の条件

水深 70 m 未満の海域では、これらの浅い海域における波の動的な応答により、一部の浮体式基礎構造の係留コストが高くなることがあります。

勾配が緩やかな高密度の砂や、礫がほとんどまたは全く含まれない均質な硬い粘土など、良好な地盤条件は、多様なアンカーソリューションが利用でき、長期的な係留装置の安定性に対する信頼性が高いため、コスト上の利点をもたらします。厳しい条件下では、サクションアンカーやパイルアンカーなどの代替設計や設置方法が必要になるため、コストが大幅に増加する可能性があります。

風況や波浪、潮汐差、潮流も LCOE に影響を与えます。平均風速が高くなるとコストは増加しますが、エネルギー生産量が増加するため、LCOE には純利益がもたらされます。日本と韓国では、台風の影響により設計の変更が必要になり、コストが増加する可能性があります。潮汐差が大きいと、海面と、タービンのブレード先端との間に最小限のクリアランスを常に維持する必要があり、係留システムにさらなる柔軟性が求められるため、コストが増加する可能性があります。特に悪天候時の計画外のメンテナンスや修理作業では、潮汐や波浪によりタービンへのアクセスが難しくなり、コストが増え、エネルギー生産量が減少します。

同様に、海岸から離れた海域にあるプロジェクトでは、アクセスに時間がかかるため、コストが増加し、ダウンタイムが増加し、エネルギー生産量が減少します。約 60 km (を超える距離) では、毎日港を行き来する作業員輸送船 (CTV) よりも、何週間も海上で過ごすサービス運行船 (SOV) の方が高い費用対効果を得られる場合があります。海岸から遠いプロジェクトでは、通常、系統への接続距離も長くなり、送電の設備投資費用 (CAPEX) と事業運営費 (OPEX) が増加します。

時間の経過とともに、政府は、合意された固定価格の市場メカニズムから、発電事業者が発電する電力の価格を入札するオークションへと、洋上風力発電の支援方法を移行させてきました。この変化はプロジェクトレベルでの競争を促進し、それがサプライチェーン全体に波及します。また、業界が成熟するにつれて、かつては高度に差別化された供給分野が一般化し、さらなる競争を促進します。

タービン供給などの一部のサプライチェーン分野では、市場規模が小さいため、世界的に競合するサプライヤーは少数にとどまっています。これにより競争が制限されます。ケーブルや基礎構造などの他の分野では、輸送コストが十分に低いため、地理的に分散した供給拠点が供給に入札することができます。浮体式基礎構造物にタービンを設置する喫水に適した深さが港湾にあり、O&M (運用・保守管理) 港湾サービスを提供できる場所では、風力発電所までの距離が競争点となります。

船舶のチャーター料金は、セクター間競争の影響を示す良い例です。大型の浮体式船舶でも一般的なタグボートでも、地域の風況や石油・ガス活動の周期的な変動が、価格に大きな影響を与える可能性があります。

サプライチェーンの進化

時間が経つにつれて、着床式洋上風力発電の場合と同様に、サプライチェーンは成熟し、大規模な企業がより広範な業務より多くのリスクを引き受けるようになります。1 つのサプライヤー内での業務範囲が広がると、より多くの専門分野にわたるコラボレーションが可能になり、コストを削減できます。また、生産量が増加すると、大量生産プロセスにおける繰り返しに適した設計、製造、設置ツールへの投資も促進されます。大規模な洋上風力発電所では、100 組もの同一 (または類似した) コンポーネントを使用する場合があります。これは、石油・ガス業界で一般的に行われている、個別に部品を構築する手法とは全く異なります。

技術開発:

現在まで、エネルギーコストの削減を長期的に推進してきた最大の要因は、新しい技術の開発です。この動向を最も明確に示すのが、タービン定格出力の増加です。20 年前の 2 MW のタービンから、2028 年に最終投資決定 (FID) に達するプロジェクトでは 15 MW のタービンに増加しています。

より大型のタービンは、浮体式基礎構造、設置、運転における 1 MW あたりのコストを下げるのに役立ち、それと同時に、より高い高度の風力を利用することで、設置された 1 MW あたりの発電量を増加させます。タービンの大型化は、部品レベルでの技術開発の必要性を高めます。それは、あらゆる産業の連続生産と比較して、洋上風力タービンは最大の鋳造品、ベアリング、発電機、複合材構造を使用するためです。

浮体式基礎構造の設計と製造における技術開発は、LCOE に大きな影響を与えます。このコスト要素は浮体式洋上風力発電に特有のもので、現在、設備投資費用 (CAPEX) の非常に大きな割合を占めています。業界の規模が拡大し、浮体式基礎構造製造を最適化するにつれて、着床式洋上風力発電におけるコストのかかる要素と同様に、大幅なコスト削減が実現します。より軽量で最適化された設計などの下部基礎構造の革新は、必要な鋼材やその他の材料使用量を削減し、材料および製造コストを削減します。タービンと基礎設計の統合もコスト削減に役立つ可能性があります。業界の規模が拡大するにつれて、規模の経済とサプライチェーンの合理化により、コストはさらに削減されます。さらに、導入率にもよりますが、プロジェクト経験の増加と設置技術の向上により、時間の経過とともに、浮体式洋上風力発電がより手頃な価格になり、商業的に採算が取れるようになります。

業界はデジタル、自律型、人工知能、その他の適用可能な技術を取り入れ、特に風力発電所の運用と制御の改善を通じて、大幅なコスト削減を可能にしています。

時間

上記のサプライチェーンと技術的要因を考慮すると、LCOE は時間の経過とともに減少すると予測されます。

下図に、2027 年 (英国で次の浮体式洋上風力発電所の実証段階運転予定の年) から 2035 年までの BVGA による欧州浮体式洋上風力発電の LCOE 予測を示します。絶対値は変化する可能性はありますが、アジア太平洋地域の LCOE も同様の傾向をたどると予想されます。 LCOE は個々のプロジェクトによって異なりますが、全体的な LCOE は時間の経過とともに大幅に減少し続けています。この価格幅は、浮体式洋上風力発電プロジェクトにおいて、サイトの条件、支援策、地域特有の要件といった様々な要因によって変動する可能性のある、LCOE (均等化発電原価) の幅を示しています。業界が様々なテクノロジーとそれに関連する製造、設置、保守プロセスが全体にわたって標準化するにつれて、この差異は時間の経過とともに縮小して行くと予想されます。以下に示すコスト内訳は、2020 年以降に業界が経験した商品価格の上昇と市場動向の変化を反映しています。今後、商品価格がある程度下落すると予想されるものの、その時期や規模については不明です。

2027 年から 2035 年までの欧州における浮体式洋上風力発電 LCOE 予測

浮体式洋上風力発電の LCOE は、業界の規模が拡大し技術が成熟するにつれて大幅に低下すると予想されますが、ほとんどの場合、着床式洋上風力発電よりも高い水準に留まると考えられます。規模の経済と技術革新によって浮体式風力発電の LCOE が下がったとしても、固有の技術的課題と材料要件により、着床式プロジェクトよりもコストが高くなることは変わりません。これは主に、浮体式基礎、係留装置、ダイナミックケーブルにより複雑性が増加という点と、深海での特殊な設置および保守戦略が必要になることに起因します。さらに、着床式洋上風力発電と浮体式洋上風力発電では設置場所が異なります。浮体式風力発電は、着床式技術では到達できない、より深い水域や技術的に困難な場所にアクセスできるように設計されています。これらの場所では、多くの場合、海洋気象条件がより厳しく、インフラ要求がより大きく、エンジニアリング要件がより複雑なため、コストが増加することになります。

浮体式洋上風力発電所ガイド